日期:2025-03-24 分类:产品知识 浏览:1506 来源:广东佑风微电子有限公司
三极管放大电路共基放大电路共集放大电路
学过模电的朋友应该对三极管或者场效应管的放大电路(本文所说的放大电路均指电压放大)不会感到陌生吧,这可是模电中的重点,但是也是难点,自己知道很重要,就是搞不明白怎么回事,没关系这次就以三极管放大电路的三种组态为例给大家简单说一下放大电路的放大倍数计算公式。
三极管组成的基本组态放大电路可以分为三种,分别是共射放大电路、共基放大电路和共集放大电路。
1、共射放大电路
电路原理图如下:
①、放大倍数为:A=-Rc/Re。根据需求设计Rc和Re的取值。②、输入阻抗:Zin = beta * Re。(R1与R2为三极管提供偏置电压,这里先忽略,当然实际应该考虑)。由于三级管的电路放大特性,Re折算到输入端需要放大beta倍,所以输入阻抗高。③、输出阻抗:Zout = Rc。为了降低三级管的电流,降低功耗,所以Rc一般取值很大。④、频率特性:由于存在密勒效应,三极管基极和集电极之间的寄生电容在放大区会扩大A倍反应到输入端,所以频率特性较差,无法放大高频信号。
2.共集放大电路
共集放大电路的输入电阻很大,输出电阻很小,但是只有电流放大能力,没有电压放大能力,一般接近但小于1,共集放大电路的交流通路如下。

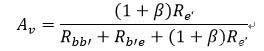
乍一看感觉和发射极没电阻的共集放大电路很像,区别就是交流地的位置不一样,自己可以对比一下,以便于区分。交流放大倍数的公式为:

从公式中也可以看出来电压放大倍数是不可能大于1的,通常1+β很大,再加上后面乘上一个大电阻Re',所以,这个结果是接近于1的。这个公式中就一个Re'和上面两种放大电路的公式不一样,其值等于Re并上R L,其他字母所代表的含义和上面相同。
3.共基放大电路
共基放大电路输入电阻很小,输出电阻很大,而且频率特性好,但是共基放大电路只有电压放大能力,并没有电流放大能力,直接看一下交流通路电路图。

这个电路是不是看起来很怪,电流从发射极流入集电极流出的是共基极放大电路(看这个电流流向本身就感觉很怪,但是他确实就这样),通过共射电路的介绍我相信大家应该对原理图上的四个元件很熟悉了,我们直接来看一下这个电路的公式:

其实这个电压放大倍数的大小是和共射放大电路发射极不接电阻时是一样的,只不过二者相差一个负号,公式中每个字母代表的含义和共射极放大电路也是一样的,也就是β表示三极管的放大倍数,R L'等于R c并上R L,R b b'是由基极引线电阻和基区体电阻组成的,R b'e的计算方法也和共射放大电路相同。
如何判别三极管的三种工作状态
简单来说,判别工作于何种工作状态可以根据Uce的大小来判别,Uce接近于电源电压VCC,则三极管就工作于载止状态,载止状态就是说三极管基本上不工作,Ic电流较小(大约为零),所以R2由于没有电流流过,电压接近0V,所以Uce就接近于电源电压VCC。
若Uce接近于0V,则三极管工作于饱和状态,何谓饱和状态?就是说,Ic电流达到了最大值,就算Ib增大,它也不能再增大了。
以上两种状态我们一般称为开关状态,除这两种外,第三种状态就是放大状态,一般测Uce接近于电源电压的一半。若测Uce偏向VCC,则三极管趋向于载止状态,若测Uce偏向0V,则三极管趋向于饱和状态。
放大电路稳定工作原理
1:由于温度上升使集电极Ic增加,发射极电流Ie跟着增大,R4两端的电压IeR4跟着增大,Ub是分压电阻提供,Ub基本保持不变, 由于Ube=Ub-IeR4,因此Ube会下降,相应基极电流Ib就会减小,集电极Ic增加被抑制,从而稳定集电极电流直流工作点,从而降低了温度上升对电路的不良影响。
2:R4反馈电阻放大电路关键元件,适当增加R4阻值,反馈越大,稳定性好。因此要根据实际电路设计进行合理选择,为了减小交流能量在R4上的损耗,增加了C3电容让交流旁路到地,可以提高放大电路的交流增益。
3:电流负反馈偏置电路具有良好的温度稳定性,只要选择合适的偏置电阻阻值,设计好合理的直流工作点,就可以让放大电路稳定可靠地工作。因此是放大电路中应用较多的偏置电路。
如果要应用好三极管,那么上述三种基本组态放大电路就一定要掌握好